Приложения криволинейных интегралов

Криволинейные и поверхностные интегралы. Интеграл астроиды. Момент инерции через тройной интеграл. Приложения криволинейных интегралов. Криволинейный интеграл первого рода.
Криволинейные и поверхностные интегралы. Интеграл астроиды. Момент инерции через тройной интеграл. Приложения криволинейных интегралов. Криволинейный интеграл первого рода.
Приложения криволинейных интегралов. Приложения криволинейных интегралов. Криволинейный интеграл первого рода приложения. Приложения определенного интеграла. Приложения криволинейных интегралов.
Приложения криволинейных интегралов. Приложения криволинейных интегралов. Криволинейный интеграл первого рода приложения. Приложения определенного интеграла. Приложения криволинейных интегралов.
Приложения криволинейных интегралов. Криволинейный интеграл по длине дуги. Вычисление поверхностного интеграла 2 рода. Криволинейный поверхностный интеграл 1 рода. Связь между криволинейными интегралами 1 и 2 рода.
Приложения криволинейных интегралов. Криволинейный интеграл по длине дуги. Вычисление поверхностного интеграла 2 рода. Криволинейный поверхностный интеграл 1 рода. Связь между криволинейными интегралами 1 и 2 рода.
Приложения криволинейных интегралов. Приложения криволинейных интегралов. Геометрические приложения определённого интеграла. Геометрический смысл криволинейного интеграла 1. Приложения криволинейных интегралов.
Приложения криволинейных интегралов. Приложения криволинейных интегралов. Геометрические приложения определённого интеграла. Геометрический смысл криволинейного интеграла 1. Приложения криволинейных интегралов.
Приложения криволинейных интегралов. Криволинейный интеграл 1 рода презентация. Презентации криволинейный интеграл. Приложения криволинейных интегралов. Задача, приводящая к понятию криволинейного интеграла второго рода.
Приложения криволинейных интегралов. Криволинейный интеграл 1 рода презентация. Презентации криволинейный интеграл. Приложения криволинейных интегралов. Задача, приводящая к понятию криволинейного интеграла второго рода.
Приложения криволинейных интегралов. Криволинейный интеграл 1 рода в декартовых координатах. Свойства криволинейного интеграла. Приложения криволинейных интегралов. Геометрический смысл криволинейного интеграла 1 рода.
Приложения криволинейных интегралов. Криволинейный интеграл 1 рода в декартовых координатах. Свойства криволинейного интеграла. Приложения криволинейных интегралов. Геометрический смысл криволинейного интеграла 1 рода.
Приложения криволинейных интегралов. Физические приложения тройного интеграла. Приложения криволинейных интегралов. Приложения криволинейных интегралов. Вычисление криволинейного интеграла 1 рода.
Приложения криволинейных интегралов. Физические приложения тройного интеграла. Приложения криволинейных интегралов. Приложения криволинейных интегралов. Вычисление криволинейного интеграла 1 рода.
Приложения определенного интеграла площадь. Приложения криволинейных интегралов. Вычислить длину астроиды. Вычислить криволинейный интеграл 1 рода параметрически. Контрольная работа криволинейные интегралы.
Приложения определенного интеграла площадь. Приложения криволинейных интегралов. Вычислить длину астроиды. Вычислить криволинейный интеграл 1 рода параметрически. Контрольная работа криволинейные интегралы.
Площадь астроиды через интеграл. Приложения криволинейных интегралов. Криволинейный интеграл первого рода вдоль объединения кривых равен. Геометрические приложения тройного интеграла. Приложения определенных интегралов.
Площадь астроиды через интеграл. Приложения криволинейных интегралов. Криволинейный интеграл первого рода вдоль объединения кривых равен. Геометрические приложения тройного интеграла. Приложения определенных интегралов.
Геометрическое и физическое приложение тройного интегралов. Криволинейный интеграл по длине. Кратные и криволинейные интегралы. Приложения криволинейных интегралов. Криволинейный интеграл первого рода свойства.
Геометрическое и физическое приложение тройного интегралов. Криволинейный интеграл по длине. Кратные и криволинейные интегралы. Приложения криволинейных интегралов. Криволинейный интеграл первого рода свойства.
Геометрическое приложение криволинейного интеграла 2 рода. Приложения криволинейного интеграла 1 рода. Криволинейные интегралы 1 и 2 рода. Приложения криволинейных интегралов. Приложения криволинейных интегралов.
Геометрическое приложение криволинейного интеграла 2 рода. Приложения криволинейного интеграла 1 рода. Криволинейные интегралы 1 и 2 рода. Приложения криволинейных интегралов. Приложения криволинейных интегралов.
Кривая заданная параметрически. Площадь цилиндрической поверхности через криволинейный интеграл. Криволинейный интеграл второго рода. Физические приложения криволинейного интеграла 1 рода. Криволинейный интеграл 1 рода презентация.
Кривая заданная параметрически. Площадь цилиндрической поверхности через криволинейный интеграл. Криволинейный интеграл второго рода. Физические приложения криволинейного интеграла 1 рода. Криволинейный интеграл 1 рода презентация.
Контрольная работа криволинейные интегралы. Криволинейный поверхностный интеграл 1 рода. Вычисление криволинейного интеграла 1 рода. Приложения криволинейных интегралов. Задача, приводящая к понятию криволинейного интеграла второго рода.
Контрольная работа криволинейные интегралы. Криволинейный поверхностный интеграл 1 рода. Вычисление криволинейного интеграла 1 рода. Приложения криволинейных интегралов. Задача, приводящая к понятию криволинейного интеграла второго рода.
Приложения определенного интеграла. Геометрическое приложение криволинейного интеграла 2 рода. Приложения криволинейных интегралов. Приложения криволинейных интегралов. Приложения криволинейных интегралов.
Приложения определенного интеграла. Геометрическое приложение криволинейного интеграла 2 рода. Приложения криволинейных интегралов. Приложения криволинейных интегралов. Приложения криволинейных интегралов.
Вычисление криволинейного интеграла 1 рода. Момент инерции через тройной интеграл. Геометрическое приложение криволинейного интеграла 2 рода. Приложения криволинейных интегралов. Криволинейный интеграл 1 рода в декартовых координатах.
Вычисление криволинейного интеграла 1 рода. Момент инерции через тройной интеграл. Геометрическое приложение криволинейного интеграла 2 рода. Приложения криволинейных интегралов. Криволинейный интеграл 1 рода в декартовых координатах.
Приложения определенных интегралов. Приложения криволинейных интегралов. Криволинейный интеграл по длине дуги. Вычислить криволинейный интеграл 1 рода параметрически. Кривая заданная параметрически.
Приложения определенных интегралов. Приложения криволинейных интегралов. Криволинейный интеграл по длине дуги. Вычислить криволинейный интеграл 1 рода параметрически. Кривая заданная параметрически.
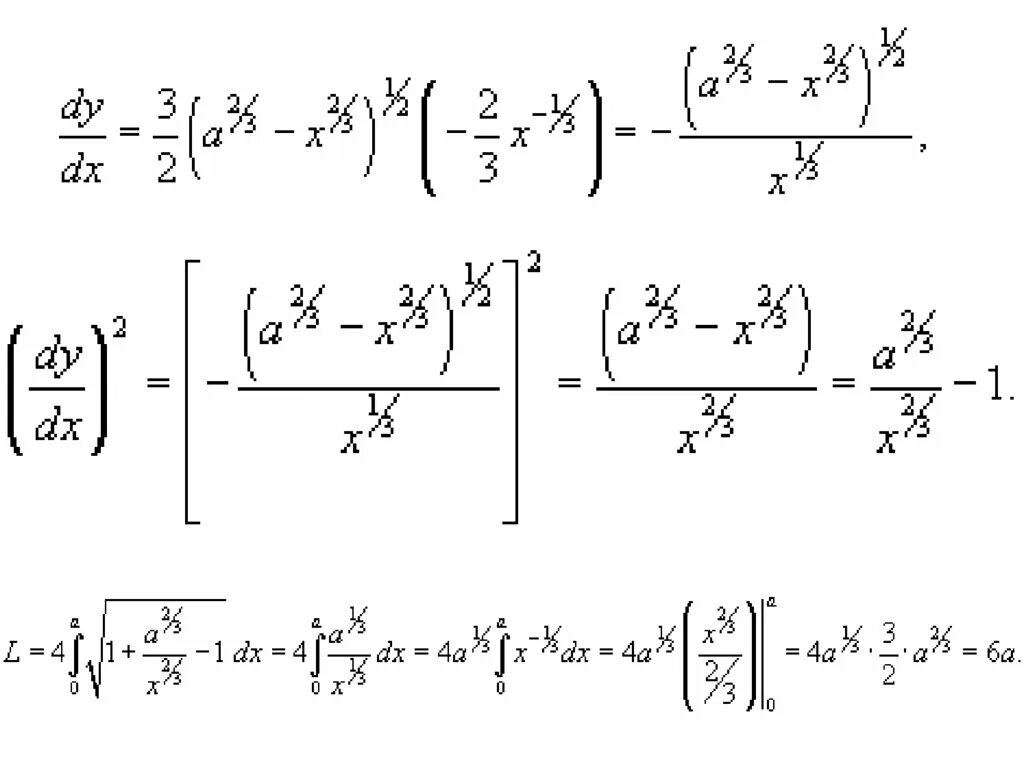
Приложения криволинейных интегралов. Геометрические приложения тройного интеграла. Вычислить длину астроиды. Геометрические приложения определённого интеграла. Интеграл астроиды.
Приложения криволинейных интегралов. Геометрические приложения тройного интеграла. Вычислить длину астроиды. Геометрические приложения определённого интеграла. Интеграл астроиды.
Приложения криволинейных интегралов. Приложения криволинейных интегралов. Физические приложения тройного интеграла. Криволинейные интегралы 1 и 2 рода. Контрольная работа криволинейные интегралы.
Приложения криволинейных интегралов. Приложения криволинейных интегралов. Физические приложения тройного интеграла. Криволинейные интегралы 1 и 2 рода. Контрольная работа криволинейные интегралы.
Кривая заданная параметрически. Криволинейный интеграл первого рода свойства. Площадь цилиндрической поверхности через криволинейный интеграл. Приложения криволинейных интегралов. Задача, приводящая к понятию криволинейного интеграла второго рода.
Кривая заданная параметрически. Криволинейный интеграл первого рода свойства. Площадь цилиндрической поверхности через криволинейный интеграл. Приложения криволинейных интегралов. Задача, приводящая к понятию криволинейного интеграла второго рода.
Приложения криволинейных интегралов. Приложения криволинейного интеграла 1 рода. Вычислить криволинейный интеграл 1 рода параметрически. Криволинейный интеграл по длине дуги. Кратные и криволинейные интегралы.
Приложения криволинейных интегралов. Приложения криволинейного интеграла 1 рода. Вычислить криволинейный интеграл 1 рода параметрически. Криволинейный интеграл по длине дуги. Кратные и криволинейные интегралы.