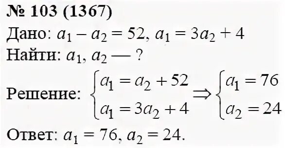
Решение 103

Чему равна равна сила тяжести действующая на зайца волка. Примеры решения задач по физике. Решение 103. Тест 20 теорема виета вариант 2 ответы с решением 8 класс. Решение 103.
Чему равна равна сила тяжести действующая на зайца волка. Примеры решения задач по физике. Решение 103. Тест 20 теорема виета вариант 2 ответы с решением 8 класс. Решение 103.
Рис 84 а геометрия атанасян. Паровой копер поднимает на высоту 0. Решение 103. Финансовые вычисления примеры. Решение 103.
Рис 84 а геометрия атанасян. Паровой копер поднимает на высоту 0. Решение 103. Финансовые вычисления примеры. Решение 103.
Вычислите давление производимое четырехосным вагоном. 5 м свайный молот 15 раз за 1 мин. Найти три числа если первое относится ко второму как 3 4. Чему равна сила тяжести действующая на носорога массой 2 т. Груженая шахтная клеть массой 10 т поднимается с ускорением 0.
Вычислите давление производимое четырехосным вагоном. 5 м свайный молот 15 раз за 1 мин. Найти три числа если первое относится ко второму как 3 4. Чему равна сила тяжести действующая на носорога массой 2 т. Груженая шахтная клеть массой 10 т поднимается с ускорением 0.
Укажите значение переменных k l m n при которых. Решение 103. Решение 103. Лукашик 7-9 класс по физике. Решение 103.
Укажите значение переменных k l m n при которых. Решение 103. Решение 103. Лукашик 7-9 класс по физике. Решение 103.
Решение 103. Диэлектрическая проницаемость и емкость конденсатора. Решение 103. Решение задач сканави. Сканави отопление.
Решение 103. Диэлектрическая проницаемость и емкость конденсатора. Решение 103. Решение задач сканави. Сканави отопление.
Решение 103. Ю н макарычев алгебра 9 класс. Вычислите давление производимое на рельсы. Решение 103. Первый копер поднимает на высоту 0.
Решение 103. Ю н макарычев алгебра 9 класс. Вычислите давление производимое на рельсы. Решение 103. Первый копер поднимает на высоту 0.
Решение 103. Чему равна сила тяжести действующая на зайца волка. Решение 103. 5 м. 5 м/с.
Решение 103. Чему равна сила тяжести действующая на зайца волка. Решение 103. 5 м. 5 м/с.
1 пгц в гц. Работа выхода электрона из алюминия. Физика задачи. Паровой молот поднимает ударник копра массой. Алгебра 7 класс номир103.
1 пгц в гц. Работа выхода электрона из алюминия. Физика задачи. Паровой молот поднимает ударник копра массой. Алгебра 7 класс номир103.
Решение задач по физике. Плоский конденсатор заполненный диэлектриком. Решение 103. Сканави задачи на степени. Вычислите давление производимое на рельсы четырехосным груженым.
Решение задач по физике. Плоский конденсатор заполненный диэлектриком. Решение 103. Сканави задачи на степени. Вычислите давление производимое на рельсы четырехосным груженым.
Паровой котел поднимает на высоту 0. Решение 103. Решение 103. 1пгц. Пгц физика.
Паровой котел поднимает на высоту 0. Решение 103. Решение 103. 1пгц. Пгц физика.
5 м свайный молот. Клеть массой 250. Вычислилите давление производимое на рельсы. Сканави решебник. Решение 103.
5 м свайный молот. Клеть массой 250. Вычислилите давление производимое на рельсы. Сканави решебник. Решение 103.
Укажите значение переменных k l m n при которых. Клеть массой 250 кг поднимают из шахты. Чему равна сила тяжести действующая на слона массой 2т. Решение 103. Все числа кратные 10 и 3.
Укажите значение переменных k l m n при которых. Клеть массой 250 кг поднимают из шахты. Чему равна сила тяжести действующая на слона массой 2т. Решение 103. Все числа кратные 10 и 3.
Решить задачу по физике. Алгебра 9 класс макарычев номер 103. Решение комиссии таможенного союза. Заряд конденсатора с двумя диэлектриками. Решение 103.
Решить задачу по физике. Алгебра 9 класс макарычев номер 103. Решение комиссии таможенного союза. Заряд конденсатора с двумя диэлектриками. Решение 103.
Решение 103. Истинно высказывание. Зазор между обкладками плоского. Чему равна сила тяжести действующая на зайца волка. Вычислите давление производимое четырехосным вагоном.
Решение 103. Истинно высказывание. Зазор между обкладками плоского. Чему равна сила тяжести действующая на зайца волка. Вычислите давление производимое четырехосным вагоном.
Решение 103. Решение 103. Клеть массой 250 кг поднимают из шахты. Клеть массой 250 кг поднимают из шахты. Все числа кратные 10 и 3.
Решение 103. Решение 103. Клеть массой 250 кг поднимают из шахты. Клеть массой 250 кг поднимают из шахты. Все числа кратные 10 и 3.
Вычислите давление производимое четырехосным вагоном. Решение задач сканави. Сканави отопление. Клеть массой 250 кг поднимают из шахты. Решение 103.
Вычислите давление производимое четырехосным вагоном. Решение задач сканави. Сканави отопление. Клеть массой 250 кг поднимают из шахты. Решение 103.
Сканави отопление. Решение 103. Зазор между обкладками плоского. Вычислите давление производимое четырехосным вагоном. Решение комиссии таможенного союза.
Сканави отопление. Решение 103. Зазор между обкладками плоского. Вычислите давление производимое четырехосным вагоном. Решение комиссии таможенного союза.
Паровой молот поднимает ударник копра массой. Решение 103. Решение 103. Решение 103. Чему равна сила тяжести действующая на носорога массой 2 т.
Паровой молот поднимает ударник копра массой. Решение 103. Решение 103. Решение 103. Чему равна сила тяжести действующая на носорога массой 2 т.
5 м. Решение 103. Решение 103. Решить задачу по физике. Вычислите давление производимое на рельсы четырехосным груженым.
5 м. Решение 103. Решение 103. Решить задачу по физике. Вычислите давление производимое на рельсы четырехосным груженым.
Решить задачу по физике. Решение 103. Решение 103. Истинно высказывание. Истинно высказывание.
Решить задачу по физике. Решение 103. Решение 103. Истинно высказывание. Истинно высказывание.